Physical Symbol System terdiri dari himpunan entitas yang dinamakan simbol, berpola fisik yang dapat menjadi komponen dari entitas tipe lain yang dinamakan Ekspresi (struktur simbol).
Struktur simbol terdiri dari sejumlah instant (Token) dari simbol-simbol yang berhubungan pada beberapa cara fisik. Selain struktur tersebut, sistem juga berisi koleksi proses-proses yang beroperasi pada ekspresi, untuk menghasilkan ekspresi lain : proses pembuatan (create), modifikasi, reproduksi, dan penghancuran (destruksi).
Jadi PSS adalah mesin yang memproduksi suatu koleksi penyusunan struktur simbol. Sistem seperti itu terdapat dalam suatu objek dunia yang lebih luas dari hanya ekspresi simbolik itu sendiri.
Perbedaan antara Pemrograman AI dan Konvensional
Pemrograman AI :
- Bila terjadi perubahan dalam program, maka tidak mengganggu seluruh “Facts” yang tersimpan dalam “Otak” (layaknya pikiran manusia/seperti informasi yang terdapat pada pikiran manusia)
- Independen
- Dapat Dimodifikasi tanpa mempengaruhi struktur kesluruhan program
- Fleksibel efisien dan mudah untuk dimengerti
Penyelesaian Masalah berdasarkan teknik AI
Empat hal untuk membangun sistem atau memecahkan masalah tertentu :
1. Definisikan masalah dengan jelas
2. Analisis masalah
3. Kumpulkan dan representasikan knowledge
4. Pilih teknik pemecah masalah terbaik dan gunakan untuk masalah tertentu
Mendefinisikan Masalah sebagai “State Space Search” (SSS)
Misalnya permainan catur , maka SSS nya adalah :
Menspesifikasikan posisi awal dari papan catur
Peraturan (rules) yang mendefinisikan langkah-langkah yang legal
Posisi papan yang merepresentasikan pemenang dari satu sisi atau sisi lainnya.
Tujuan (Goal) dari permainan adalah : memenangkan permainan.
Pendefinisian Masalah Sebagai Pencarian Ruang Keadaan
Masalah utama dalam membangun sistem berbasis AI adalah bagaimana mengkonversikan situasi yang diberikan ke dalam situasi lain yang diinginkan
menggunakan sekumpulan operasi tertentu.
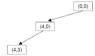
A Water Jug Problem
Anda diberi dua buah gelas, yang satu ukuran 4 galon dan yang lain 3 galon. Kedua gelas tidak memiliki skala ukuran. Terdapat pompa yang dapat digunakan untuk mengisi gelas dengan air. Bagaimana anda mendapatkan tepat 2 galon air di dalam gelas 4 ukuran
galon?
Ruang masalah untuk masalah di atas dapat digambarkan sebagai himpunan pasangan bilangan bulat (x,y) yang terurut, sedemikian hingga x = 0, 1, 2, 3, atau 4 dan y = 0, 1, 2, atau 3; x menyatakan jumlah air dalam gelas ukuran 4 galon, dan y menyatakan jumlah air dalam gelas ukuran 3 galon. Keadaan mula-mula adalah (0,0). State tujuan adalah (2,n) untuk setiap nilai n.
Operator-opeartor (aturan produksi) yang digunakan untuk memecahkan masalah terlihat
pada gambar 3.2.1.
Gambar 3.2.2 Suatu solusi untuk Water Jug Problem.
Karakteristik Masalah Dalam AI :
- • Apakah masalahnya dapat didekomposisi menjadi himpunan sub masalah yang (hampir) independen lebih kecil atau lebih mudah ?
- Dapatkah langkah penyelesaian diacuhkan paling tidak dibatalkan ketika dapat dibuktikan hal tersebut tidak bijaksana ?
- Apakah universe masalahnya dapat diprediksi ?
- Apakah solusi yang baik dari masalah tertentu jelas tanpa membandingkan dengan seluruh solusi lain yang mungkin ?
- Apakah solusi yang diinginkan sebuah keadaaan dari dunia atau sebuah jalur dari keadaan ?
- Apa peran dari pengetahuan ?
- Apakah pekerjaan memerlukan interakasi dengan manusia ?
Sistem Produksi
Sistem produksi terdiri dari:
- Himpunan aturan, masing-masing terdiri dari sisi kiri (pola) yang menentukan kemampuan aplikasi dari aturan tersebut dan sisi kanan yang menggambarkan operasi yang dilalukan jika aturan dilaksanakan.
- Satu atau lebih pengetahuan atau basis data yang berisi informasi apapun untuk tugas tertentu. Beberapa bagian basis data bisa permanen, dan bagian yang lain bisa hanya merupakan solusi untuk masalah saat ini. Informasi dalam basis data ini disusun secara tepat.
- Strategi kontrol yang menspesifikasikan urutan dimana aturan akan dibandingkan dengan basis data dan menspesifikasikan cara pemecahan masalah yang timbul ketika beberapa aturan sesuai sekaligus pada waktu yang sama.
- A rule applier (pengaplikasi aturan).
Strategi Kontrol
Syarat-syarat strategi kontrol:
- cause motion. Perhatikan kembali water jug problem. Jika kita mengimplementasikan strategi kontrol sederhana dengan selalu memilih aturan pertama pada daftar 12 aturan yang telah dibuat, maka kita tidak akan pernah memecahkan masalah. Strategi kontrol yang tidak menyebabkan motion tidak akan pernah mencapai solusi.
- Systematic. Strategi kontrol sederhana yang lain untuk water jug problem: pada setiap siklus, pilih secara random aturan-aturan yang dapat diaplikasikan. Strategi ini lebih baik dari yang pertama, karena menyebabkan motion. Pada akhirnya strategi tersebut akan mencapai solusi. Tetapi mungkin kita akan mengunjungi beberapa state yang sama selama proses tersebut dan mungkin menggunakan lebih banyak langkah dari jumlah langkah yang diperlukan. Hal ini disebabkan strategi kontrol tersebut tidak sistematik. Beberapa strategi kontrol yang sistematik telah diusulkan, yang biasa disebut sebagai metoda-metoda dalam teknik searching. Di bab ini, akan dibahas enam metoda, yaitu Breadth First Search, Uniform Cost Search, Depth First Search, Depth-Limited Search, Iterative-Deepening Depth-First Search, dan Bi-directional search. Masing-masing metoda tersebut mempunyai karakteristik yang berbeda.
Strategi Pencarian
Terdapat empat kriteria dalam strategi pencarian, yaitu:
- Completeness: Apakah strategi tersebut menjamin penemuan solusi jika solusinya memang ada?
- Time complexity: Berapa lama waktu yang diperlukan?
- Space complexity: Berapa banyak memori yang diperlukan?
- Optimality: Apakah strategi tersebut menemukan solusi yang paling baik jika terdapat beberapa solusi berbeda pada permasalahan yang ada?
Depth-First Search (DFS)
Pencarian dilakukan pada satu node dalam setiap level dari yang paling kiri. Jika pada level yang paling dalam, solusi belum ditemukan, maka pencarian dilanjutkan pada node sebelah kanan. Node yang kiri dapat dihapus dari memori. Jika pada level yang paling dalam tidak ditemukan solusi, maka pencarian dilanjutkan pada level sebelumnya. Demikian seterusnya sampai ditemukan solusi. Jika solusi ditemukan maka tidak diperlukan proses backtracking (penelusuran balik untuk mendapatkan jalur yang dinginkan).
Kelebihan DFS adalah:
- Pemakain memori hanya sedikit, berbeda jauh dengan BFS yang harus menyimpan semua node yang pernah dibangkitkan.
- ika solusi yang dicari berada pada level yang dalam dan paling kiri, maka DFS akan menemukannya secara cepat.
Kelemahan DFS adalah:
- Jika pohon yang dibangkitkan mempunyai level yang dalam (tak terhingga), maka tidak ada jaminan untuk menemukan solusi (Tidak Complete).
- Jika terdapat lebih dari satu solusi yang sama tetapi berada pada level yang berbeda, maka pada DFS tidak ada jaminan untuk menemukan solusi yang paling baik (Tidak Optimal)
Gambar 3.2.3 Penelusuran Depth First Search untuk Water Jug Problem.
Breadth-First Search (BFS)
Pencarian dilakukan pada semua node dalam setiap level secara berurutan dari kiri ke kanan. Jika pada satu level belum ditemukan solusi, maka pencarian dilanjutkan pada level berikutnya. Demikian seterusnya sampai ditemukan solusi. Dengan strategi ini, maka dapat dijamin bahwa solusi yang ditemukan adalah yang paling baik (Optimal). Tetapi BFS harus menyimpan semua node yang pernah dibangkitkan. Hal ini harus dilakukan untuk penelusuran balik jika solusi sudah ditemukan. Gambar 2.4 mengilustrasikan pembangkitan pohon BFS untuk masalah Water Jug. Pembangkitan suksesor dari suatu node bergantung pada urutan dari Aturan Produksi yang dibuat (lihat gambar 2.3). Jika urutan dari aturan 4 ditukar dengan aturan 5, maka pohon BFS yang dibangkitkan juga akan berubah.
Gambar 3.2.4 Pohon Breadth First Search untuk Water Jug Problem.
Berikut ini membahas metoda-metode yang terdapat dalam teknik pencarian yang berdasarkan pada panduan (Heuristic Search), yaitu Generate and Test, Simple Hill Climbing, Steepest-Ascent Hill Climbing, Simulated Annealing, Best First Search,Greedy Search, A Star (A*), Problem Reduction, Constraint Satisfaction, dan Means-Ends Analysis.
Generate-and-Test
Metode Generate-and-Test adalah metode yang paling sederhana dalam pencarian heuristic. Jika pembangkitan possible solution dikerjakan secara sistematis, maka prosedur akan mencari solusinya, jika ada. Tetapi jika ruang masalahnya sangat luas, mungkin memerlukan waktu yang sangat lama.
Algoritma Generate-and-Test adalah prosedur DFS karena solusi harus dibangkitkan secara lengkap sebelum dilakukan test. Algoritma ini berbentuk sistematis, pencarian sederhana yang mendalam dari ruang permasalahan. Generate & test juga dapat dilakukan dengan pembangkitan solusi secara acak, tetapi tidak ada jaminan solusinya akan ditemukan.
Algorithm: Generate-and-Test
- Generate a possible solution. For some problems, this means generating a particular point in the problem space. For others, it means generating a path from a start state.
- Test to see if this is actually a solution by comparing the chosen point or endpoint of the chosen path to the set of acceptable goal states.
- If a solution has been found, quit. Otherwise, return to step 1.
Contoh kasus:
Untuk permasalahan sederhana maka tehnik generate & test adalah tehnik yang layak. Sebagai contoh, pada teka-teki yang terdiri dari empat kubus segi enam, dengan masingmasing sisi dari setiap kubus dicat dengan 4 warna. Solusi dari teka-teki terdiri dari susunan kubus dalam beberapa baris yang semuanya empat sisi dari satu blok baris yang menunjukkan nasing-masing warna. Masalah ini dapat diselesaikan dengan manusia dalam beberapa menit secara sistematis dan lengkap dengan mencoba semua kemungkinan. Ini bisa diselesaikan dengan lebih cepat menggunakan prosedur generate & test. Pandangan sekilas pada empat blok yang tampak bahwa masih ada lagi, katakanlah bagian merah dari warna-warna lain yang ada. Sehingga ketika menempatkan blok dengan beberapa bagian merah, ini akan menjadi ide yang baik untuk digunakan jika sebagian darinya sebisa mungkin dibagian luar. Sebagian yang lain sebisa mungkin harus ditempatkan pada blok berikutnya. Menggunakan aturan ini, banyak konfigurasi diperlukan tanpa di-explore dan sebuah solusi dapat ditemukan lebih cepat.
Sumber : http://robby.c.staff.gunadarma.ac.id
Labels:
Kecerdasan Buatan (AI)
Previous Article

Responses
0 Respones to "Asumsi Dasar AI"
Post a Comment